当前位置:肿瘤瞭望>资讯>快讯>正文

郑亚兵教授:2025 ESMO在线指南更新!戈沙妥珠单抗是mTNBC ≥2线治疗唯一ⅠA推荐、MCBS最高5分的ADC

作者:肿瘤瞭望   日期:2025/6/4 16:16:33  浏览量:6852

肿瘤瞭望版权所有,谢绝任何形式转载,侵犯版权者必予法律追究。

三阴性乳腺癌(TNBC)分化差、侵袭性强、易复发转移,整体预后差。随着对Trop-2靶点开发的深入,针对该靶点的抗体偶联药物(ADC)戈沙妥珠单抗(SG)为TNBC患者带来了生存获益及生活质量提升。4月,《欧洲肿瘤内科学会(ESMO)转移性乳腺癌在线指南v1.2》(《ESMO在线指南》)更新发布,维持了戈沙妥珠单抗高级别优选推荐地位,在针对(新)辅助免疫治疗结束后≤6-12个月复发或二线及以后的治疗中,继续保持了Ⅰ类推荐方案,A级证据,且仍是TNBC领域唯一取得ESMO临床获益量表评分(ESMO-MCBS)5分的ADC药物,代表了戈沙妥珠单抗在晚期TNBC二线及以上治疗的全面获益。

编者按:三阴性乳腺癌(TNBC)分化差、侵袭性强、易复发转移,整体预后差。随着对Trop-2靶点开发的深入,针对该靶点的抗体偶联药物(ADC)戈沙妥珠单抗(SG)为TNBC患者带来了生存获益及生活质量提升。4月,《欧洲肿瘤内科学会(ESMO)转移性乳腺癌在线指南v1.2》(《ESMO在线指南》)更新发布,维持了戈沙妥珠单抗高级别优选推荐地位,在针对(新)辅助免疫治疗结束后≤6-12个月复发或二线及以后的治疗中,继续保持了Ⅰ类推荐方案,A级证据,且仍是TNBC领域唯一取得ESMO临床获益量表评分(ESMO-MCBS)5分的ADC药物,代表了戈沙妥珠单抗在晚期TNBC二线及以上治疗的全面获益。
 
01
《ESMO在线指南》更新戈沙妥珠单抗再获ESMO-MCBS最高评分
 
TNBC是当前乳腺癌中预后最差的一种亚型,具有分化差、侵袭性强、更早且更易发生转移的特点,约1/3的TNBC患者会出现复发或远处转移[1]。复发转移的TNBC通常预后较差,5年生存率不足15%,显著低于乳腺癌整体31%的5年生存率[2,3]。既往TNBC缺乏有效的治疗靶点,而如PD-L1阳性、gBRCA1/2突变、HER2低表达等人群在TNBC患者中占比较小,故晚期TNBC一般以化疗作为标准治疗方案。
 
Trop-2靶点的发现与开发为TNBC系统治疗带来了新的希望。作为乳腺癌等多种肿瘤常见的靶点,Trop-2在96%的TNBC患者中存在高表达,因此成为了新药开发的重要靶点[4]。如今,全球首个Trop-2 ADC戈沙妥珠单抗已经获批用于既往接受过至少两种系统治疗,其中至少一种为针对转移性疾病治疗的不可切除局部晚期或转移性TNBC患者,并获得了国内外众多指南的一致推荐,成为了TNBC二线及以后治疗的标准方案。
 
2025年4月,《ESMO在线指南》[5]再次更新,将TNBC分为“未经治转移性乳腺癌或(新)辅助免疫治疗结束后6-12个月以上复发”以及“(新)辅助免疫治疗结束后≤6-12个月复发或二线及以后”两类人群。对于前者,指南建议根据PD-L1表达、gBRCA突变状况一线选择免疫治疗、PARP抑制剂或化疗方案;对于后者,指南建议对gBRCA突变阳性患者选择PARP抑制剂,对gBRCA野生型患者推荐使用戈沙妥珠单抗或化疗,再次进展后可选择戈沙妥珠单抗(既往未用)、德曲妥珠单抗(HER2-low)或化疗。
 
《ESMO在线指南v1.2》mTNBC(新)辅助治疗≤6-12个月复发或二线及以后治疗的路径
 
此次指南更新维持了戈沙妥珠单抗高级别优选推荐地位,在(新)辅助免疫治疗结束后≤6-12个月复发或二线及以后的治疗中,继续保持Ⅰ类推荐方案,A级证据,且仍是TNBC领域唯一取得ESMO临床获益量表评分(ESMO-MCBS)5分的ADC药物,意味着疗效、安全性及患者生活质量得到了权威指南的肯定。
 
02
ESMO-MCBS 5分代表非治愈性疗法最高获益
 
ESMO-MCBS(Magnitude of Clinical Benefit Scale,临床获益量表)是ESMO于2015年推出的标准化评估工具,用于评估抗肿瘤临床研究的临床获益。目前该评估体系已经应用于临床和卫生技术评估、ESMO指南制定、同行评审、医学教育等多个领域[6]
 
ESMO-MCBS仅用于实体瘤,由于治愈性疗法与非治愈性疗法之间存在较大差异,故对二者赋予不同评分形式。对于新辅助、辅助等根治性疗法,ESMO-MCBS将之分为A、B、C三个等级;对于非治愈性疗法,则分为1-5五个评分等级,其中4分和5分表明该疗法具有实质性获益[7]
 
ESMO-MCBS根治性和非治愈性疗法的评分等级
 
对于非治愈性疗法的ESMO-MCBS评估中,根据相关临床研究的不同终点设置提供了不同的评估表格。若临床研究以总生存期(OS)为主要终点则在生存获益方面以4分制进行报告,仅生活质量(QoL)显著改善或3-4度不良事件显著降低并能进一步增加生存获益时,才会予以5分。若临床研究以无进展生存期(PFS)或到疾病进展时间(TTP)为主要终点,则以3分制进行报告,仅在安全性、OS、QoL数据进一步改善时,才会予以5分,反之若无生存和QoL优势,则会减分[8]
 
以PFS为主要终点的非治愈性治疗研究的ESMO-MCBS评估内容
 
此次戈沙妥珠单抗继续保持ESMO-MCBS最高评分5分主要基于ASCENT研究所取得综合获益结果。该研究以PFS为主要终点,通过充分考虑该研究PFS、OS、安全性、生存、生活质量等多方面获益,最终被赋予5分最高分,表明了戈沙妥珠单抗较标准化疗能够为患者带来全面获益。
 
03
全面获益,ASCENT研究为戈沙妥珠单抗ESMO-MCBS 5分奠定基础
 
ASCENT研究是一项全球、多中心、随机、对照、Ⅲ期临床研究,共纳入了529例紫杉类经治后进展的TNBC患者,按1:1随机分组后分别予以戈沙妥珠单抗以及医生选择的治疗方案(TPC),直至出现疾病进展或不可耐受的毒性,主要研究终点为无脑转移人群的PFS。
 
该研究中无脑转移患者共468例,在此类人群中,戈沙妥珠单抗较TPC提升mPFS 3倍以上,为5.6个月vs 1.7个月(HR 0.39,95%CI:0.31-0.49,P<0.0001);延长mOS近2倍,为12.1个月vs 6.7个月(HR 0.48,95%CI:0.39-0.59,P<0.0001);改善客观缓解率(ORR)达7倍,为35%vs 5%[9]。事后分析显示,无论Trop-2表达水平如何,患者均可从戈沙妥珠单抗治疗中取得获益[10]
 
ASCENT研究中无脑转移人群的PFS与OS
 
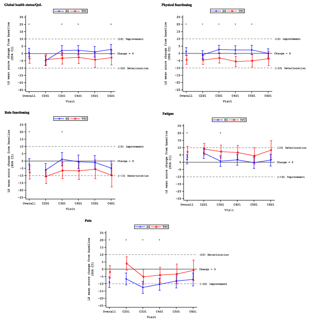
安全性方面,戈沙妥珠单抗治疗整体安全性可控。ASCENT研究中戈沙妥珠单抗组中常见的≥3级治疗相关不良事件(TRAE)为中性粒细胞减少(51%)和腹泻(10%)[11]。生活质量方面,ASCENT研究患者报告的结局(PRO)取得了积极结果,显示戈沙妥珠单抗较TPC在整体生存状况/生活质量(GHS/QoL)、生理机能(PF)、生理职能(RF)、虚弱、疼痛五个QoL维度的得分均具有显著改善[12]
 
ASCENT研究生活质量表现
 
综上,戈沙妥珠单抗在PFS、OS、安全性、生活质量等方面较标准化疗方案取得的全面改善为其获得ESMO-MCBS最高分5分奠定了坚实的基础,使之成为了晚期TNBC二线治疗的优选方案。
 
04
国内外指南一致认可戈沙妥珠单抗未来可期
 
目前,戈沙妥珠单抗在国内外权威指南获得了一致认可,《美国国立综合癌症网络(NCCN)乳腺癌临床实践指南2025 v4》(《NCCN乳腺癌指南2025v4》)推荐戈沙妥珠单抗为二线治疗的优选方案,1类证据[13]。《中国临床肿瘤学会(CSCO)乳腺癌诊疗指南2025)》《CSCO BC指南》对于紫杉类治疗失败的晚期TNBC患者解救化疗,建议戈沙妥珠单抗为Ⅱ级推荐,证据级别由2A提升至1A[14]。《中国抗癌协会与中华医学会肿瘤学分会乳腺癌诊治指南与规范(2025年版精要本)》也将戈沙妥珠单抗作为TNBC二线及其后治疗的标准治疗方案[15]。可见戈沙妥珠单抗在TNBC二线及其后治疗的基石地位已被广泛接受。
 
未来,更多戈沙妥珠单抗在TNBC应用的临床研究将继续拓展,全面布局TNBC的靶向Ttrop-2治疗格局。如ASCENT-03研究(NCT05382299)将对比戈沙妥珠单抗单药与TPC一线治疗TNBC的疗效;ASCENT-04研究(2025 ASCO LBA109)将探索戈沙妥珠单抗联合帕博利珠单抗对比化疗联合帕博利珠单抗一线治疗PD-L1阳性的晚期TNBC疗效与安全性;NeoSTAR研究(2025 ASCO abs#511)将探索戈沙妥珠单抗联合帕博利珠单抗新辅助治疗TNBC的可行性。后两项研究即将于2025年ASCO会议上披露结果,值得关注。
 
随着戈沙妥珠单抗循证医学证据的不断丰富,其将在TNBC二线治疗基石地位的基础上,继续布局TNBC靶向Trop-2治疗格局,为更多患者带来全面的临床获益!
 
参考文献
 
[1]Caparica R,Lambertini M,de Azambuja E.How I treat metastatic triple-negative breast cancer[J].ESMO Open,2019,4(Suppl 2):e000504.DOI:10.1136/esmoopen-2019-000504.
 
[2]Tray N,Adams S,Esteva FJ.Antibody-drug conjugates in triple negative breast cancer[J].Future Oncol,2018,14(25):2651-2661.DOI:10.2217/fon-2018-0131.
 
[3]National Cancer Institute.Recent trends in SEER age-adjusted incidence rates,2000-2020[EB/OL].[2024-03-20].https://seer.cancer.gov/statistics-network/explorer/.
 
[4]Manna M,Brabant M,Greene R,et al.Canadian Expert Recommendations on Safety Overview and Toxicity Management Strategies for Sacituzumab Govitecan Based on Use in Metastatic Triple-Negative Breast Cancer.Curr Oncol.2024;31(9):5694-5708.Published 2024 Sep 21.doi:10.3390/curroncol31090422
 
[5]ESMO Metastatic Breast Cancer Living Guidelines,v1.2 April 2025,available at:https://www.esmo.org/living-guidelines/esmo-metastatic-breast-cancer-living-guideline/triple-negative-breast-cancer/metastatic-triple-negative-breast-cancer/recurrence-6-12-months-after-the-end-of-neo-adjuvant-ici-or-second-and-further-lines
 
[6]Cherny,N.I.et al.ESMO-Magnitude of Clinical Benefit Scale version 1.1.Annals of Oncology,Volume 28,Issue 10,2340–2366.
 
[7]The ESMO-MCBS consists of 5 evaluation forms.Available at:https://www.esmo.org/guidelines/esmo-mcbs/esmo-mcbs-evaluation-forms
 
[8]Cherny NI,Sullivan R,Dafni U,et al.A standardised,generic,validated approach to stratify the magnitude of clinical benefit that can be anticipated from anti-cancer therapies:the European Society for Medical Oncology Magnitude of Clinical Benefit Scale(ESMO-MCBS)[published correction appears in Ann Oncol.2017 Nov 1;28(11):2901-2905.doi:10.1093/annonc/mdw258.].Ann Oncol.2015;26(8):1547-1573.doi:10.1093/annonc/mdv249
 
[9]Bardia A,Hurvitz SA,Tolaney SM,et al.Sacituzumab Govitecan in Metastatic Triple-Negative Breast Cancer.N Engl J Med.2021;384(16):1529-1541.doi:10.1056/NEJMoa2028485
 
[10]Bardia A,Tolaney SM,Punie K,et al.Biomarker analyses in the phase III ASCENT study of sacituzumab govitecan versus chemotherapy in patients with metastatic triple-negative breast cancer.Ann Oncol.2021;32(9):1148-1156.doi:10.1016/j.annonc.2021.06.002
 
[11]Rugo HS,Tolaney SM,Loirat D,et al.Safety analyses from the phase 3 ASCENT trial of sacituzumab govitecan in metastatic triple-negative breast cancer.NPJ Breast Cancer.2022 Aug 29;8(1):98.doi:10.1038/s41523-022-00467-1.PMID:36038616;PMCID:PMC9424318.
 
[12]Loibl S,Loirat D,Tolaney SM,et al.Health-related quality of life in the phase III ASCENT trial of sacituzumab govitecan versus standard chemotherapy in metastatic triple-negative breast cancer.Eur J Cancer.2023;178:23-33.doi:10.1016/j.ejca.2022.10.003
 
[13]NCCN Guidelines 2025.v4 Invasive Breast Cancer.Available at:https://www.nccn.org/professionals/physician_gls/pdf/breast.pdf
 
[14]中国临床肿瘤学会指南工作委员会.中国临床肿瘤学会(CSCO)乳腺癌诊疗指南2025.北京:人民卫生出版社.2025.04.
 
[15]《中国抗癌协会与中华医学会肿瘤学分会乳腺癌诊治指南与规范》编撰秘书处,中国抗癌协会与中华医学会肿瘤学分会乳腺癌诊治指南与规范(2025年版精要本).-上海:复旦大学出版社.2024年12月.
 
郑亚兵教授
浙江省肿瘤医院
乳腺内科副主任、主任医师、硕士生导师
中国抗癌协会乳腺癌专业委员会委员
中国抗癌协会乳腺肿瘤整合康复专业委员会常委
长江学术带乳腺联盟(YBCSG)副主任委员
浙江省转化医学学会精准医学分会会长
中国医药教育协会乳腺疾病专业委员会委员
浙江省医师协会乳腺肿瘤专业委员会常委
中国医药教育协会乳腺疾病专业委员会浙江分会常委
浙江省抗癌协会无呕管理专家组副组长
浙江省数理医学学会乳腺肿瘤诊疗专业委员会常委
浙江省数理医学学会循证医学专业委员会常委
 
审批编号CN-TRO-0303
有效期至2026年12月31日

本内容仅供医学专业人士参考


乳腺癌

分享到: 更多