当前位置:肿瘤瞭望>资讯>快讯>正文

通过多基因检测来预测抗HER2治疗的疗效

作者:肿瘤瞭望   日期:2025/9/4 11:39:07  浏览量:6390

肿瘤瞭望版权所有,谢绝任何形式转载,侵犯版权者必予法律追究。

HER2阳性乳腺癌占乳腺癌的15%-20%,因其侵袭性强、预后差,曾是临床治疗的难点。近年来,随着抗HER2靶向药物的不断涌现,该亚型的治疗模式已从传统化疗转向精准靶向干预;精准分析HER2状态并预测抗HER2治疗的疗效,对于改善患者预后具有积极意义。近期,一项研究通过多基因检测来预测抗HER2治疗的疗效,结果表明MammaTyper检测可以客观且准确地评估HER2状态,对治疗结果具有重要价值。

编者按:HER2阳性乳腺癌占乳腺癌的15%-20%,因其侵袭性强、预后差,曾是临床治疗的难点。近年来,随着抗HER2靶向药物的不断涌现,该亚型的治疗模式已从传统化疗转向精准靶向干预;精准分析HER2状态并预测抗HER2治疗的疗效,对于改善患者预后具有积极意义。近期,一项研究通过多基因检测来预测抗HER2治疗的疗效,结果表明MammaTyper检测可以客观且准确地评估HER2状态,对治疗结果具有重要价值。
 
研究背景
 
优化HER2分类,可以预测抗HER2治疗的疗效,同时改善乳腺癌患者预后[1]。人源化抗HER2单克隆抗体曲妥珠单抗的发现,以及其他抗HER2药物(例如拉帕替尼、帕妥珠单抗、T-DM1和T-DXd等)的研发,显著改善了HER2阳性乳腺癌患者的预后。目前已开展了大量转化研究,旨在寻找预测标志物,帮助患者选择合适的治疗方案。
 
当前的HER2评估存在一定挑战,尤其蛋白表达不明确、基因扩增水平较低以及治疗反应不佳时[2-4]。同时,抗HER2方案的疗效不仅取决于HER2状态,还取决于HER2与其他蛋白质之间的相互作用[5,6]。鉴于这些挑战,一种标准化、稳健、可靠且经济高效的基于mRNA的ERBB2和其他关键基因的检测,如ER(ESR1)、PR(PGR)和Ki-67(MKI67),可以为当前的HER2评估方法提供可行的替代或补充手段。
 
MammaTyper多基因检测可利用RT-qPCR评估4种生物标志物ERBB2、ESR1、PGR和MKI67的表达,并且能够将乳腺癌分为不同的分子类型[7,8]。研究者假设使用MammaTyper多基因检测结合ESR1、PGR和MKI67 mRNA水平进行评估,可以对HER2阳性(HER2+)乳腺癌患者进行更好的预测分层。
 
研究方法
 
本研究筛选了诺丁汉大学医院1998年至2018年间确诊的350例HER2+乳腺癌患者,分为两组:一组患者接受HER2靶向辅助治疗(n=190),另一组患者仅接受化疗(在抗HER2治疗获批前确诊,n=160)。2000年之前患者的化疗方案包括环磷酰胺、甲氨蝶呤和5-氟尿嘧啶;2000年之后,患者接受以蒽环类-紫杉烷类为基础的化疗。
 
研究队列包含两种分子亚型:HER2+/管腔B亚型(HER2+、ER+、PR+/-),HER2+/非管腔亚型(HER2+、ER-和PR-)。最终纳入了287例具有福尔马林固定石蜡包埋样本和有效MammaTyper结果的病例进行分析。
 
△研究流程
 
研究结果

患者特征
 
研究共纳入287例HER2阳性乳腺癌患者。根据是否接受抗HER2治疗,将病例分为两组:单纯化疗组(n=128)和以曲妥珠单抗为基础的治疗组(n=159)。
 
▽两组HER2+患者的基线特征
 
ERBB2、HER2的实验室分析
 
ERBB2 mRNA与HER2基因拷贝数呈正相关(R=0.31,P=0.006)。HER2 IHC3+患者的ERBB2 mRNA水平显著高于HER2 IHC 2+/ISH+患者(P=1.4e-14)。分析HER2 IHC 3+和HER2 IHC 2+/ISH+患者中的HER2基因拷贝数时也发现了同样结果,但相关性显著性较低(P=0.03)。
 
分析ERBB2 mRNA与基于IHC分子亚型的相关性发现,ERBB2 mRNA与HER2+/非管腔亚型显著正相关(P=0.00019),而HER2基因拷贝数与这些亚型无显著相关性(P=0.33)。
 
MammaTyper定义的HER2状态
 
ERBB2的平均值为42.31(标准差为±2.25)。通过预先设定的阳性截止点,MammaTyper检测将251/287例(87.4%)ERBB2+患者识别为ERBB2+,而36/287例(12.5%)识别为ERBB2-,其中31/287例(10.6%)为ERBB2低表达。在ERBB2+患者中,97%表现出较高的MKI67增殖指数,81%(203/251)ERBB2+患者为IHC 3+。
 
就MammaTyper检测定义的ERBB2-而言,70%(26/36)为HER2 IHC 2+/ISH+,HER2基因拷贝数中位数为6.5。
 
基于MammaTyper检测的分子亚型
 
根据MammaTyper基于RNA的分子亚型分析,287例中有96例(33%)为HER2富集型(HER2-E)分子亚型;而基于IHC的分子亚型中,有44.5%(126/287)为HER2-E(kappa值=0.3,P<0.001),54%为HER2+/管腔B型。根据多基因检测,8.4%的患者为HER2-/管腔B型,1.4%为管腔A型。
 
△基于IHC和基于MammaTyper的分子亚型差异
 
不一致样本的验证
 
本研究中,36例ERBB2在MammaTyper检测中呈阴性,其中10例HER2 IHC 3+,26例HER2 IHC 2+/ISH+。对这36例ERBB2不一致的样本进行复染后,发现既往穿刺活检HER2+的36例样本中,有25例(69%)为阴性。其余11例确诊为HER2+(3例为HER2 IHC3+,8例为IHC 2+/ISH+。活检样本的HER2状态与ERBB2 mRNA状态之间的一致性非常好(K=0.8,95%CI:0.69-0.91,P<0.001)。在审查患者这11例样本后,8例HER2 IHC 2+/ISH+样本在FISH上显示出非常低的扩增水平(平均2.1),3例HER2 IHC3+显示蛋白异质表达(<60%)。
 
△不一致样本的HER2 IHC和ERBB2 mRNA分类分析
 
根据ERBB2/HER2状态预测HER2+疗效
 
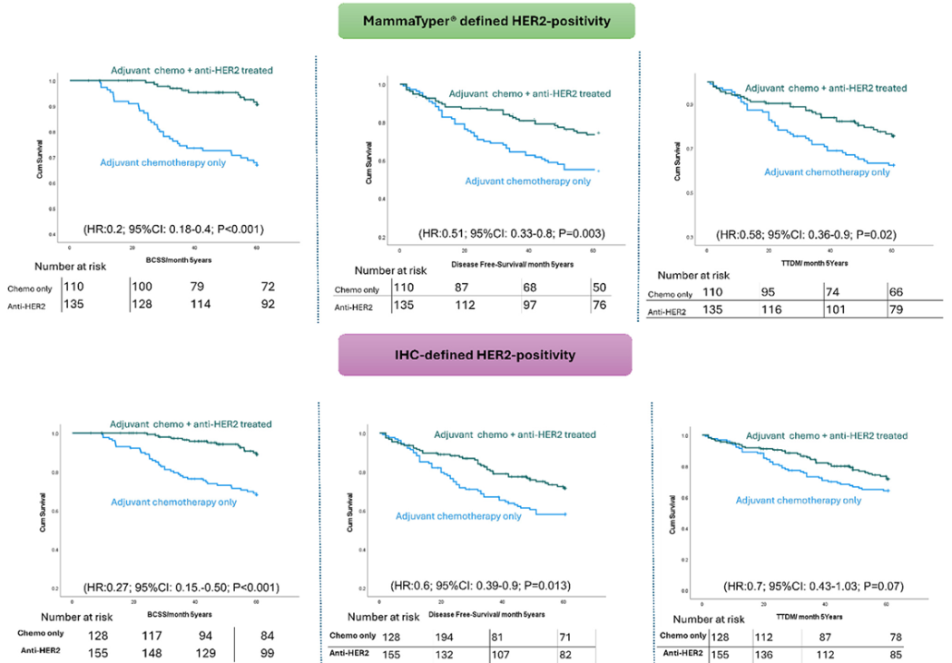
与仅接受化疗的患者相比,接受以曲妥珠单抗为基础的ERBB2+患者的早期疾病复发率显著降低,包括5年DFS(HR:0.51;95%CI:0.33-0.8;P=0.003)和5年DMFS(HR:0.58;95%CI:0.36-0.9;P=0.02),DFS和DMFS分别延长33%和15%。此外,以曲妥珠单抗为基础的ERBB2+患者的5年BCSS显著延长(HR:0.2;95%CI:0.18-0.4;P<0.001)。
 
△MammaTyper定义的ERBB2+和IHC定义的HER2+的疗效差异预测
 
与仅接受化疗的患者相比,以曲妥珠单抗为基础的患者中,IHC定义的HER2+在预测早期复发方面也具有显著差异,包括5年DFS(HR:0.6;95%CI:0.39-0.9;P=0.013)和5年BCSS(HR:0.27;95%CI:0.15-0.50;P<0.001)。然而,在接受抗HER2治疗的IHC HER2+患者中,5年DMFS中未观察到显著差异(HR:0.7;95%CI:0.43-1.03;P=0.07)。根据ER状态对病例进行二分类时,ERBB2+(无论ER+还是ER-)均延长了5年DFS。
 
▽不同ERBB2/HER2状态下抗HER2治疗的复发情况分析
 
MammaTyper分子分类下的疗效分析
 
基于MammaTyper的HER2-E分子亚型(96例患者),有效预测了抗HER2治疗的疗效,可延长了5年DFS(P=0.012)和5年BCSS(P<0.001);而基于IHC的HER2-E分子亚型(126例患者),则不能有效预测这些患者的早期复发情况(P=0.18)。
 
△MammaTyper/IHC定义的不同分子亚型患者抗HER2治疗的疗效差异分析
 
在多变量Cox回归模型中,当根据肿瘤分级、肿瘤大小、淋巴结转移、淋巴管侵犯、组织学肿瘤类型和ER状态调整MammaTyper定义的ERBB2+亚组(251名患者)时,抗HER2治疗是延长5年DFS(HR:0.61,95%CI:0.38-0.96;P=0.031)和5年BCSS(HR:0.21,95%CI:0.18-0.45;P<0.001)的独立预测因子。尽管在IHC定义的HER2+(287名患者)中,抗HER2疗法是更好的BCSS的独立预测因素(HR:0.31,95%CI:0.16-0.57;P<0.001),但不是5年DFS的独立预测因素(HR:0.67,95%CI:0.44-1.02;P=0.063)。
 
△MammaTyper/IHC定义的HER2+患者基于曲妥珠单抗治疗的疗效差异
 
研究结论
 
这项研究旨在评估基于mRNA的多基因检测在预测HER2+乳腺癌患者的抗HER2治疗的疗效作用,并对比了MammaTyper分类和传统IHC分类的差异。研究结果表明,MammaTyper检测可以客观且准确地评估HER2状态,对治疗结果具有重要意义。未来的研究需要进一步改进这些技术,并在更大、更多样化的队列中验证其临床实用性。
 
参考文献
 
[1].Atallah N,Makhlouf S,Li X,et al.Prediction of response to anti-HER2 therapy using a multigene assay[J].Modern Pathology,2025,38(4):100713.
 
[2].Wolff A C,Hammond M E H,Allison K H,et al.Human epidermal growth factor receptor 2 testing in breast cancer:American Society of Clinical Oncology/College of American Pathologists clinical practice guideline focused update[J].Archives of pathology&laboratory medicine,2018,142(11):1364-1382.
 
[3].Carretero-Barrio I,Caniego-Casas T,Rosas M,et al.Evaluation of ERBB2 mRNA expression in HER2-equivocal(2+)immunohistochemistry cases[J].Cancers,2023,15(6):1688.
 
[4].Nitta H,Kelly B D,Allred C,et al.The assessment of HER2 status in breast cancer:the past,the present,and the future[J].Pathology international,2016,66(6):313-324.
 
[5].Vaz-Luis I,Winer E P,Lin N U.Human epidermal growth factor receptor-2-positive breast cancer:does estrogen receptor status define two distinct subtypes?[J].Annals of Oncology,2013,24(2):283-291.
 
[6].Wang Y C,Morrison G,Gillihan R,et al.Different mechanisms for resistance to trastuzumab versus lapatinib in HER2-positive breast cancers-role of estrogen receptor and HER2 reactivation[J].Breast Cancer Research,2011,13:1-19.
 
[7].Badr N M,Zaakouk M,Zhang Q,et al.PR,Ki67,and HER2-low expression in breast cancer by MammaTyper RT-qPCR and immunohistochemistry:implications for the practising pathologist[J].Histopathology,2024,85:437-450.
 
[8].Schettini F,Saracchini S,Bassini A,et al.Prediction of response to neoadjuvant chemotherapy by MammaTyper®across breast cancer subtypes:A retrospective cross-sectional study[J].The Breast:Official Journal of the European Society of Mastology,2024,76:103753.

本内容仅供医学专业人士参考


乳腺癌

分享到: 更多