EAU23丨陈守臻教授:尿路上皮癌亮点研究汇总

作者:肿瘤瞭望   日期:2023/3/14 11:02:50  浏览量:14489

肿瘤瞭望版权所有,谢绝任何形式转载,侵犯版权者必予法律追究。

第38届欧洲泌尿外科学会年会(EAU23)于2023年3月10日至13日在世界时尚之都意大利米兰召开。EAU年会是欧洲乃至全球最受关注的泌尿外科会议之一,每年吸引全球1万5千余名泌尿外科专家参会。本次大会共收录了1448篇研究摘要,在大会最后一天的专题讨论中,公布了各个领域的最佳摘要(Best of EAU23 Abstracts)。《肿瘤瞭望》特邀山东大学齐鲁医院陈守臻教授盘点尿路上皮癌领域入选最佳摘要的相关研究。

第38届欧洲泌尿外科学会年会(EAU23)于2023年3月10日至13日在世界时尚之都意大利米兰召开。EAU年会是欧洲乃至全球最受关注的泌尿外科会议之一,每年吸引全球1万5千余名泌尿外科专家参会。本次大会共收录了1448篇研究摘要,在大会最后一天的专题讨论中,公布了各个领域的最佳摘要(Best of EAU23 Abstracts)。《肿瘤瞭望》特邀山东大学齐鲁医院陈守臻教授盘点尿路上皮癌领域入选最佳摘要的相关研究。

#1
术前即刻灌注化疗预防非肌层浸润性膀胱癌复发--precave Cueto 1802试验(摘要号:A0713)
 
体积小、低分级的非肌层浸润性膀胱癌(NMIBC)患者在TURBT术后即刻膀胱灌注化疗可以减少复发,但许多患者因膀胱穿孔或严重血尿而无法进行术后即刻灌注。Alonso Bartolome M.B.等人评估了术前即刻新辅助灌注化疗(INAIC)是否有助于减少NMIBC的复发。
 
研究者开展了一项4期、前瞻性、随机、对照的临床试验,该研究共纳入了240例患者,最终对166例患者进行了分析。临床诊断为非肌层浸润性膀胱肿瘤的患者被随机分配接受TURBT单独治疗或在TURBT前15分钟接受丝裂霉素C(40mg/40ml)的INAIC治疗。其他辅助性膀胱内化疗灌注则按照EAU指南进行。研究结果显示,在24个月的中位随访后,TURBT组有17例(27.4%)复发,而INAIC组有11例(16.7%)复发(P=0.141)。在Ta和T1肿瘤的亚组分析中没有观察到显著差异(P=0.238)。而未接受辅助性膀胱内化疗的患者的复发率较低。
 
该研究的初步分析显示,术前即刻灌注化疗可以降低未接受辅助治疗的低风险NMIBC患者的复发风险,可以考虑作为单独术后即刻灌注化疗的替代方案。术前即刻灌注化疗在不同亚群中的应用价值仍需纳入更多患者进一步分析。

#2
一项单中心前瞻性、随机、对照、非劣效试验的一年肿瘤学结局更新分析:整块切除术对比常规经尿道切除术(摘要号:A0283)
 
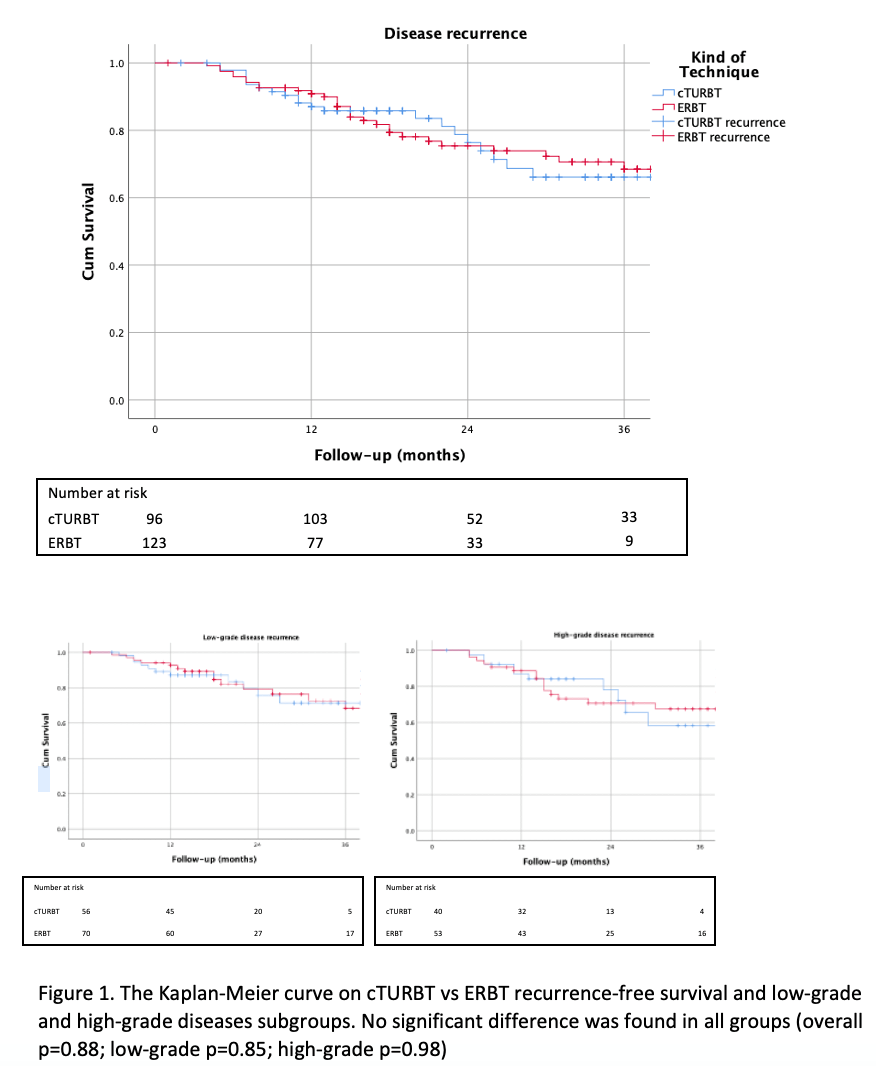
目前已有许多关于膀胱肿瘤整块切除术(ERBT)对比常规经尿道膀胱肿瘤切除术(cTURBT)的随机对照试验发表,但其结果仍存在争议。特别是在1年复发率方面,ERBT为5%-40%,cTURBT为11%-31%。
 
Diana P.等人开展了一项单中心的前瞻性、随机、对照、非劣效试验,对接受ERBT与cTURBT治疗的219例膀胱癌患者进行了分析,其中ERBT组123例,cTURBT组96例。纳入标准:肿瘤大小≤3厘米,病灶≤3个,未见肌层浸润和/或输尿管受累。
 
在ERBT组中,低分化(LG)、高分化(HG)和CIS的患者分别有70例(56.9%)、49例(39.8%)和4例(3.3%)患者的肿瘤为低分化(LG)、高分化(HG)和CIS,cTURBT组则分别有56例(58.3%)、37例(38.5%)和3例(3.1%)。共有201例患者达到了1年的随访治疗。未复发患者的中位随访时间为19个月(IQR 14-35)。ERBT组和cTURBT组分别有11例(8.9%;5例LG;6例HG)和12例(12.5%;5例LG;6例HG)发生1年复发。中位复发时间为14个月(IQR 8-22)。KM曲线显示,两组之间的无复发生存期相似,LG和HG也相似(P=0.88,0.85-0.98)。
 
 
本研究结果表明,ERBT和cTURBT的1年复发率无统计学差异。该研究结果与其他随机对照试验结果存在差异,可能由于不同研究所使用的降低NMIBC复发风险的工具和技术有所差异,作者认为应该施行统一的TURBT治疗策略。
 
#3
经尿道整块切除术对比膀胱肿瘤标准切除术:一项多中心随机试验(EB-StaR研究)(摘要号:A0707)
 
TURBT的标准切除(SR)方式是将肿瘤切成碎块。膀胱肿瘤整块切除术(ERBT)被认为是治疗非肌层浸润性膀胱癌(NMIBC)的替代技术。为进一步比较ERBT和SR在治疗NMIBC的复发情况,Teoh Y.C.J.等人设计开展了一项多中心、随机的3期试验。入组患者为膀胱肿瘤≤3厘米的成年患者,随机分配至ERBT组或SR组。研究的主要结局是1年复发率。
 
本研究共招募了350名患者;276名患者经组织学确认为NMIBC,其中ERBT组143例,SR组133例。ERBT组的1年复发率为28.5%(95%CI:18.4~37.4),SR组为38.1%(95%CI:28.4~46.5)(P=0.007)。ERBT组的1年进展率为0%,SR组为2.6%(95%CI:0~5.5%)(P=0.065)。ERBT组的手术时间比SR组长(33.4±18.5 vs.24.7±12.9分钟,P<0.001)。两组的逼尿肌取样率、闭孔反射发生率、术后丝裂霉素C灌注率、住院时间、30天并发症、残留疾病和二次经尿道切除术后的疾病分期都相似。
 
 
本研究结果表明,在肿瘤≤3厘米的NMIBC患者中,与SR相比,接受ERBT的患者1年复发率明显更低。
 
#4
CORE1:CG0070联合帕博利珠单抗在对卡介苗无应答的非肌层浸润性膀胱癌患者中的2期单臂研究(摘要号:A0420)
 
CG0070是一种基于5型腺病毒的溶瘤病毒疫苗,经工程改造后可表达GM-CSF,并在RB突变或缺陷的肿瘤细胞中选择性复制;且GM-CSF可增强CG0070诱导细胞裂解和免疫原性细胞死亡。在一项开放标签的2期研究中,CG0070用于既往接受过卡介苗治疗的高危NMIBC患者,总体完全缓解(CR)率为62%,12个月CR率为29%。静脉注射帕博利珠单抗最近被FDA批准用于卡介苗无应答的原位癌患者(伴或不伴乳头状肿瘤),总体CR率为41%,12个月CR率为20%。本研究将评估两种药物在治疗卡介苗无应答的NMIBC中的潜在协同作用。
 
35例伴或不伴Ta或T1疾病的卡介苗无应答的原位癌患者,接受CG0070膀胱灌注治疗联合帕博利珠单抗静脉注射(400mg,q6w)治疗。患者先接受CG0070每周1次共6次的诱导治疗,然后在第3、6、9、12和18个月接受每周1次共3次的维持灌注。在3个月时,对于持续原位癌或高级别Ta的患者,可以接受CG0070每周1次共6次的再次诱导治疗。帕博利珠单抗最多使用24个月。疗效评估包括每3个月行膀胱镜检查、可疑疾病组织活检、尿液细胞学检查、CTU/MRU、以及12个月时强制性的膀胱活检。高级别疾病复发将视为疾病复发。研究的主要终点是12个月的CR。次要终点包括任何时间的CR、无进展生存期、缓解持续时间、膀胱切除术后生存期和安全性。相关评估包括TME的变化、系统性免疫诱导和病毒复制。
 
研究结果显示,3个月的CR率为92%(22/24)。所有在3个月时处于CR的患者在之后的时间点仍处于CR,即:6个月时为14/16,9个月时为9/11,12个月时为6/8。治疗相关的不良事件与单独使用每种药物的研究中观察到的一致。
 
该初步研究的数据显示,CG0070联合帕博利珠单抗治疗卡介苗无应答的NMIBC的疗效和安全性是比较令人满意的。
 
#5
NECTIN-4膜性缺失常见于尿路上皮癌转移扩散过程,且可预测对enfortumab vedotin的耐药性(摘要号:A0541)
 
抗体偶联药物enfortumab vedotin(EV)通过与膜受体NECTIN-4的结合向肿瘤细胞释放细胞毒剂。近期,EV已被批准用于转移性尿路上皮癌(mUC)患者,且治疗前无需评估NECTIN-4状态。Klümper N.等人开展了一项队列研究,旨在确定原发肿瘤(PRIM)和患者匹配的远处转移灶(MET)的膜性NECTIN-4蛋白表达情况。
 
研究分为PRIM和相应MET的UC进展队列(N=137)和多中心EV治疗队列(N=39),两个队列均通过免疫组化(H-score)检测膜性NECTIN-4蛋白表达。NECTIN-4阴性/弱(H-score 0-99)与中度/强(H-score 100-300)作为亚组,评估开始EV治疗后的无进展生存(PFS);并通过体外研究NECTIN-4的功能(包括NECTIN-4基因敲除和EV滴定实验等)。
 
在UC进展队列中,膜性NECTIN-4表达在转移性扩散过程中明显下降(Wilcoxon P<0.0001,中位H-score=40,IQR:0-140),39.4%的MET缺乏膜性NECTIN-4表达。在多中心EV队列中,缺乏或弱的膜性NECTIN-4表达(占队列的34.0%)与EV治疗的PFS明显缩短有关(Logrank P<0.0001)。在体外,CRISPR-Cas9诱导的NECTIN-4缺失与EV耐药相关。
 
膜性NECTIN-4的表达在mUC组织中经常减少或缺失。值得注意的是,多中心EV队列的数据表明,EV的临床获益强烈依赖于膜性NECTIN-4的表达。因此,建议在开始EV治疗前应确定NECTIN-4受体状态(最好是在转移性病灶中)。
 
参考文献:
 
[1]Alonso Bartolome M.B.,et al.Prevention of non-muscle-invasive bladder carcinoma recurrence with immediate preoperative instillation of chemoterapy–precave cueto 1802 trial.EAU 2023;abstract A0713
 
[2]Diana P.,et al.One year oncological outcome updated analysis of a single-center prospective,randomized,controlled,non-inferiority trial:En bloc vs.conventional transurethral resection of bladder tumor.EAU 2023;abstract A0283
 
[3]Teoh Y.C.J.,et al.Transurethral en bloc resection versus standard resection of bladder tumour:A multi-center randomized trial(EB-StaR Study).EAU 2023;abstract A0707
 
[4]Li R.,et al.CORE1:Phase 2 single arm study of CG0070 combined with pembrolizumab in patients with non-muscle invasive bladder cancer unresponsive to Bacillus Calmette-Guerin(BCG).EAU 2023;abstract A0420
 
[5]Klümper N.,et al.Loss of membranous NECTIN-4 occurs frequently during metastatic spread of urothelial carcinoma and predicts resistance to enfortumab vedotin.EAU 2023;abstract A0541
 
陈守臻教授
山东大学齐鲁医院泌尿外科副主任医师,泌尿肿瘤MDT诊疗团队秘书;医学博士,博士后。
学术擅长:从事泌尿系肿瘤(主要为下尿路肿瘤:前列腺癌、膀胱癌)的基础与临床研究工作。主持国家自然科学基金项目1项、中国博士后科学基金1项、省重点研发计划1项;参与多项国家级、省级科研项目。以第一或通讯作者在Cancer Research、PCPD等杂志发表SCI文章17篇,累计IF>70分。授权国家发明专利3项。
参赛获奖:第二届中华医学会泌尿外科分会前列腺癌“PC Fans Academy最强大脑”全国总决赛冠军及“最佳人气选手”;第四届“前列腺癌最强MDT病例挑战赛”全国总决赛冠军;2021CACA-GU MDT卓越医师;2021CSCO前列腺癌诊疗指南金牌讲者。
学术任职:CSCO前列腺癌诊疗指南执笔专家组成员、中国抗癌协会泌尿男生殖系肿瘤分会青年委员、JCO中文版泌尿生殖系统肿瘤青年编委、中华医学会泌尿外科分会青年委员会肿瘤学组委员、中国医师协会中西医结合泌尿外科专业委员会青年委员、山东省老年医学会泌尿外科分会委员、山东省临床肿瘤学会前列腺癌专委会委员。

本内容仅供医学专业人士参考


尿路上皮癌

分享到: 更多